你提供的照片可能用于改善必应图片处理服务。
隐私政策
|
使用条款
无法使用此链接。检查链接是否以 "http://" 或 "https://" 开头,然后重试。
无法处理此搜索。请尝试其他图像或关键字。
试用视觉搜索
使用图像搜索、识别对象和文本、翻译或解决问题
将一个或多个图像拖到此处,
上传图像
或
打开相机
将图像放到此处以开始搜索
要使用可视化搜索,请在浏览器中启用相机
English
全部
搜索
图片
灵感
创建
集合
视频
地图
资讯
更多
购物
航班
旅游
笔记本
Modulation Theory 的热门建议
Phase Modulation
Spectrum
Modulation
Meaning
Amplitude
Modulation
Modulation
Function
Amplitude and Frequency
Modulation
Adaptive Delta
Modulation
Modulation
and Demodulation
Modulator
Design
Types of Pulse
Modulation
Define
Modulation
Signal Modulation
and Demodulation
What Is Amplitude
Modulation
Modulation
Unit
Different Types of
Modulation
De
Modulation
Woman Who Developed
Modulation Theory
Pulse Position
Modulation
Notes On the
Theory of Modulation
Pain
Modulation
Piano Modulation
Chart
Amplitude Modulation
Equation
Single Sideband
Modulation
Forms of Amplitude
Modulation
FSK
Demodulation
Direct Modulation
Music Theory
Amplitude Modulation
Graph
Amplitude Modulation
Percent Modulation
FM
Theory
Amplitude Modulation
Definition
Principle of Amplitude
Modulation
Working of Amplitude
Modulation
Block Diagram of Delta
Modulation
Ai Graph
Theory Modulation
Amplitude Modulation
Index
Amplitude Modulated
Wave
Modulation
Example
Modulation
Model
PCM
Modulation
Phase Modulation
Radio
Quadrature Amplitude
Modulation QAM
Carrier Wave
Modulation
Amplitude Modulation
PDF
Radar Amplitude
Modulation
Field
Modulation
Amplitude Modulation
Techniques
Collector
Modulation
Digital Phase
Modulation
A3E
Modulation
Encoding
Modulation
Pulse Width
Modulation
对 Modulation Theory 感兴趣的人还搜索了
Amplitude
Modulation
Phase
Modulation
Frequency-Shift
Keying
Single-Sideband
Modulation
Phase-Shift
Keying
Demodulation
Quadrature Amplitude
Modulation
Amplitude-shift
Keying
Pulse-Amplitude
Modulation
Angle
Modulation
Orthogonal Frequency-Division
Multiplexing
Continuous Phase
Modulation
Minimum-Shift
Keying
Chirp Spread
Spectrum
Continuous
Wave
Radio
Frequency
Spread
Spectrum
FM Broadcast
Band
Multiple Frequency-Shift
Keying
自动播放所有 GIF
在这里更改自动播放及其他图像设置
自动播放所有 GIF
拨动开关以打开
自动播放 GIF
图片尺寸
全部
小
中
大
特大
至少... *
自定义宽度
x
自定义高度
像素
请为宽度和高度输入一个数字
颜色
全部
仅限颜色
黑白
类型
全部
照片
剪贴画
素描
动画 GIF
透明
版式
全部
方形
横版
高
人物
全部
仅脸部
半身像
日期
全部
过去 24 小时
过去一周
过去一个月
去年
授权
全部
所有创作共用
公共领域
免费分享和使用
在商业上免费分享和使用
免费修改、分享和使用
在商业上免费修改、分享和使用
详细了解
清除筛选条件
安全搜索:
中等
严格
中等(默认)
关闭
筛选器
Phase Modulation
Spectrum
Modulation
Meaning
Amplitude
Modulation
Modulation
Function
Amplitude and Frequency
Modulation
Adaptive Delta
Modulation
Modulation
and Demodulation
Modulator
Design
Types of Pulse
Modulation
Define
Modulation
Signal Modulation
and Demodulation
What Is Amplitude
Modulation
Modulation
Unit
Different Types of
Modulation
De
Modulation
Woman Who Developed
Modulation Theory
Pulse Position
Modulation
Notes On the
Theory of Modulation
Pain
Modulation
Piano Modulation
Chart
Amplitude Modulation
Equation
Single Sideband
Modulation
Forms of Amplitude
Modulation
FSK
Demodulation
Direct Modulation
Music Theory
Amplitude Modulation
Graph
Amplitude Modulation
Percent Modulation
FM
Theory
Amplitude Modulation
Definition
Principle of Amplitude
Modulation
Working of Amplitude
Modulation
Block Diagram of Delta
Modulation
Ai Graph
Theory Modulation
Amplitude Modulation
Index
Amplitude Modulated
Wave
Modulation
Example
Modulation
Model
PCM
Modulation
Phase Modulation
Radio
Quadrature Amplitude
Modulation QAM
Carrier Wave
Modulation
Amplitude Modulation
PDF
Radar Amplitude
Modulation
Field
Modulation
Amplitude Modulation
Techniques
Collector
Modulation
Digital Phase
Modulation
A3E
Modulation
Encoding
Modulation
Pulse Width
Modulation
1024×564
quizlet.com
Modulation Theory Diagram | Quizlet
768×1024
scribd.com
Unit-3 Basics of Modulation Te…
736×1104
www.pinterest.com
Modulation Theory
768×430
mymusictheory.com
Modulation - My Music Theory
640×426
beyondmusictheory.org
The Types of Modulation | BEYOND MUSIC THEORY
220×338
z-lib.id
Modulation theory by Marc…
1200×1906
kobo.com
Modulation Theory eBook …
705×329
philipwesley.com
Music Theory Series: Basic Modulation Example – philipwesley
1200×708
musictheoryforguitar.com
Modulation Mastery Course - Master Modulations In Music
300×53
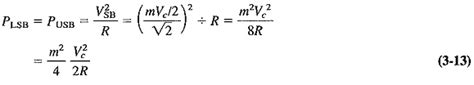
eeeguide.com
Amplitude Modulation Theory | Frequency Spectrum | Power R…
313×53
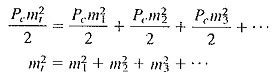
eeeguide.com
Amplitude Modulation Theory | Frequency Spectrum | Power Relations
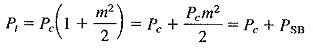
278×76
eeeguide.com
Amplitude Modulation Theory | Frequency Spectrum | Power Relati…
294×188
eeeguide.com
Amplitude Modulation Theory | Frequency Spec…
579×104
eeeguide.com
Amplitude Modulation Theory | Frequency Spectrum | Power Relations
对
Modulation Theory
感兴趣的人还搜索了
Amplitude Modulation
Phase Modulation
Frequency-Shift Keying
Single-Sideband Mo
…
Phase-Shift Keying
Demodulation
Quadrature Amplitude M
…
Amplitude-shift Keying
Pulse-Amplitude M
…
Angle Modulation
Orthogonal Frequency-Di
…
Continuous Phase Modul
…
584×97
eeeguide.com
Amplitude Modulation Theory | Frequency Spectrum | Power Relations
442×350
eeeguide.com
Amplitude Modulation Theory | Frequency S…
584×182
eeeguide.com
Amplitude Modulation Theory | Frequency Spectrum | Power Relati…
585×55
eeeguide.com
Amplitude Modulation Theory | Frequency Spectrum | Power Relations
800×600
tes.com
Music Theory - MODULATION in MUSIC | Teaching Resources
800×600
tes.com
Music Theory - MODULATION in MUSIC | Teaching Resources
1280×1762
docsity.com
Modulation-Signal and System The…
589×174
eeeguide.com
Theory of Frequency Modulation and Phase Modulation | Intersystem Comparisons
1600×1127
Britannica
Modulation | Definition, Types, & Facts | Britannica
485×890
bruneluni.tripod.com
What is modulation
1145×1000
abebooks.com
MODULATION THEORY. By Harold S. Black, Member of t…
638×1044
slideshare.net
Detection, Estimation, an…
907×1360
amazon.in
Buy A Theory Of Modulation Ein…
917×965
blogspot.com
DATA COMMUNICATION AN…
1620×911
studypool.com
SOLUTION: Module 7 phase modulation theory and calculations 1 - Studypool
1498×1131
electricalworkbook.com
What is Amplitude Modulation (AM)? Definition, Derivation…
1620×911
studypool.com
SOLUTION: Module 4 amplitude modulation theory and calculations 2 - S…
1620×911
studypool.com
SOLUTION: Module 4 amplitude modulation theory and calculations 2 - S…
2650×2250
techterms.com
Modulation Definition
2048×1536
slideshare.net
Modulation | PPTX
1620×911
studypool.com
SOLUTION: Module 6 frequency modulation theory and calculations 1 - Studypool
某些结果已被隐藏,因为你可能无法访问这些结果。
显示无法访问的结果
报告不当内容
请选择下列任一选项。
无关
低俗内容
成人
儿童性侵犯
反馈