你提供的照片可能用于改善必应图片处理服务。
隐私政策
|
使用条款
无法使用此链接。检查链接是否以 "http://" 或 "https://" 开头,然后重试。
无法处理此搜索。请尝试其他图像或关键字。
试用视觉搜索
使用图像搜索、识别对象和文本、翻译或解决问题
将一个或多个图像拖到此处,
上传图像
或
打开相机
将图像放到此处以开始搜索
要使用可视化搜索,请在浏览器中启用相机
English
全部
搜索
图片
灵感
创建
集合
视频
地图
资讯
更多
购物
航班
旅游
笔记本
自动播放所有 GIF
在这里更改自动播放及其他图像设置
自动播放所有 GIF
拨动开关以打开
自动播放 GIF
图片尺寸
全部
小
中
大
特大
至少... *
自定义宽度
x
自定义高度
像素
请为宽度和高度输入一个数字
颜色
全部
仅限颜色
黑白
类型
全部
照片
剪贴画
素描
动画 GIF
透明
版式
全部
方形
横版
高
人物
全部
仅脸部
半身像
日期
全部
过去 24 小时
过去一周
过去一个月
去年
授权
全部
所有创作共用
公共领域
免费分享和使用
在商业上免费分享和使用
免费修改、分享和使用
在商业上免费修改、分享和使用
详细了解
清除筛选条件
安全搜索:
中等
严格
中等(默认)
关闭
筛选器
1024×576
numerade.com
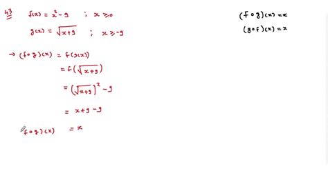
SOLVED:Inverse Function Property Use the Inverse Function Property to show that f a…
GIF
1280×720
numerade.com
SOLVED:Inverse Function Property Use the Inverse Function Property to show that f a…
1699×1457
chegg.com
Solved 37-48 = Inverse Function Property Use th…
1024×594
numerade.com
SOLVED:in Inverse Function Property Use the Inverse Function Property to show th…
1024×540
numerade.com
SOLVED:Inverse Function Property Use the Inverse Function Property to show that f and g are ...
1024×600
numerade.com
in Inverse Function Property Use the Inverse Function Property to show that f and g are inver…
1024×540
numerade.com
SOLVED: Inverse Function Property Use the Inverse Function Property to show that f and g are ...
545×460
analyzemath.com
Properties of Inverse Functions – Definitions, Examples, and …
1275×1650
cuemath.com
Inverse Function Formula - Learn t…
1056×600
fity.club
Inverse Function Functions EMaths.ie
1280×720
ar.inspiredpencil.com
Inverse Property Definition
960×720
ar.inspiredpencil.com
Inverse Property Examples
996×720
ar.inspiredpencil.com
Inverse Property Definition
912×769
ar.inspiredpencil.com
Inverse Property Definition
1024×768
ar.inspiredpencil.com
Inverse Property Definition
2500×1406
mashupmath.com
Finding the Inverse of a Function: Complete Guide — Mashup Math
1651×567
chegg.com
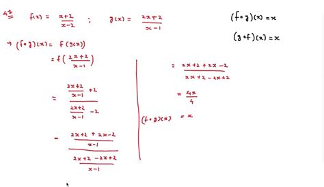
Solved Use the Inverse Function Property to show that | Chegg.com
1024×768
worksheets.clipart-library.com
Inverse Math Property - Worksheets Library
2592×1936
fity.club
Inverse Function
945×709
fity.club
Inverse Function
1024×594
fity.club
Inverse Function
532×305
fity.club
Inverse Property
3200×2400
wikiHow > Mario Banuelos, PhD
How to Find the Inverse of a Function: 4 Steps (with Pictur…
700×316
chegg.com
Solved Use the Inverse Function Property to show that | Chegg.com
1691×438
chegg.com
Solved Use the Inverse Function Property to determine | Chegg.com
1691×328
chegg.com
Solved Use the Inverse Function Property to determine | Chegg.com
828×828
ar.inspiredpencil.com
Example Of Inverse Property
2560×1280
ar.inspiredpencil.com
Example Of Inverse Property
791×1024
ar.inspiredpencil.com
Example Of Inverse Property
1088×612
ar.inspiredpencil.com
Example Of Inverse Property
1920×1080
ar.inspiredpencil.com
Example Of Inverse Property
1280×720
ar.inspiredpencil.com
Example Of Inverse Property
1388×692
chegg.com
Solved 4. Use the Inverse Function Property to determine | Chegg.com
1685×485
chegg.com
Solved Use the Inverse Function Property to see if f | Chegg.com
1866×414
chegg.com
Solved Use the Inverse Function Property to show that and | Chegg.com
某些结果已被隐藏,因为你可能无法访问这些结果。
显示无法访问的结果
报告不当内容
请选择下列任一选项。
无关
低俗内容
成人
儿童性侵犯
反馈