你提供的照片可能用于改善必应图片处理服务。
隐私政策
|
使用条款
无法使用此链接。检查链接是否以 "http://" 或 "https://" 开头,然后重试。
无法处理此搜索。请尝试其他图像或关键字。
试用视觉搜索
使用图像搜索、识别对象和文本、翻译或解决问题
将一个或多个图像拖到此处,
上传图像
或
打开相机
将图像放到此处以开始搜索
要使用可视化搜索,请在浏览器中启用相机
English
全部
搜索
图片
灵感
创建
集合
视频
地图
资讯
更多
购物
航班
旅游
笔记本
自动播放所有 GIF
在这里更改自动播放及其他图像设置
自动播放所有 GIF
拨动开关以打开
自动播放 GIF
图片尺寸
全部
小
中
大
特大
至少... *
自定义宽度
x
自定义高度
像素
请为宽度和高度输入一个数字
颜色
全部
仅限颜色
黑白
类型
全部
照片
剪贴画
素描
动画 GIF
透明
版式
全部
方形
横版
高
人物
全部
仅脸部
半身像
日期
全部
过去 24 小时
过去一周
过去一个月
去年
授权
全部
所有创作共用
公共领域
免费分享和使用
在商业上免费分享和使用
免费修改、分享和使用
在商业上免费修改、分享和使用
详细了解
清除筛选条件
安全搜索:
中等
严格
中等(默认)
关闭
筛选器
1024×476
imathist.com
Integral of square root tanx | Find ∫√tanx dx - iMath
1276×996
root-forum.cern.ch
Integral of a graph - ROOT - ROOT Forum
946×616
imathist.com
Integral of cos root x dx | Find ∫cos(√x)dx - iMath
546×1026
Chegg
Solved Solve the following integr…
1024×799
root-forum.cern.ch
Lines and integral - ROOT - ROOT Forum
750×750
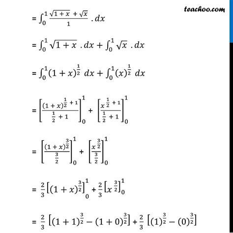
teachoo.com
Misc 29 - Definite integral dx / root 1+x …
945×945
teachoo.com
Misc 29 - Definite integral dx / root 1+x …
1280×720
mathdoubts.com
∫1/√x²+a² dx Rule | Formula
811×593
askiitians.com
what is positive integral root, Q:-the positive integral root of equ…
820×659
mathvault.ca
Troubleshooting: Evaluating a Trigonometric Integral Algebrai…
1280×720
mathdoubts.com
Evaluate ∫√x/x+1 dx
1280×720
mathdoubts.com
Proof of ∫1/√x²+a² dx Rule | Formula
640×640
teachoo.com
Example 24 - Find integral root 3 - 2x - x^2 dx - Te…
945×945
teachoo.com
Example 24 - Find integral root 3 - 2x - x^2 dx - Te…
945×945
teachoo.com
Example 23 - Find integral root x^2 + 2x + 5 dx - T…
1280×720
mathdoubts.com
Evaluate ∫1/√x+2-√x+1 dx
612×805
infinitylearn.com
List of Integral Formulas - Rules for integration, Solv…
340×379
infinitylearn.com
List of Integral Formulas - Rules for …
499×505
infinitylearn.com
List of Integral Formulas - Rules for i…
297×531
infinitylearn.com
List of Integral Formulas - Rul…
502×229
ar.inspiredpencil.com
Arcsin Integral Table
1280×720
fity.club
Square Root
1280×720
mathdoubts.com
Evaluate ∫1/√x²+x+1 dx
1280×720
gaziantepdogus.com
İntegral müfredattan çıkarıldı mı, kaldırıldı mı, derslerde İntegral konusu yok mu? - Gaziantep ...
316×272
fity.club
Trigonometric Integral Formulas Integration Formul…
945×945
teachoo.com
Misc 19 - Integrate root 1 - root x / 1 + root x - Clas…
945×945
teachoo.com
Misc 19 - Integrate root 1 - root x / 1 + …
1280×720
ar.inspiredpencil.com
Rational Root Theorem
1000×470
geeksforgeeks.org
Rational Root Theorem | GeeksforGeeks
471×156
cuemath.com
Integration of Root x - Formula, Examples | Integral of Square Root
1000×1000
cuemath.com
Integration of Root x - Formula, Examples | In…
2448×3264
Stack Exchange
Integration involving squar…
1024×532
matterofmath.com
Rational Root Theorem · Explained · Examples · Practice
1280×720
tiscatkmalessondb.z14.web.core.windows.net
Square Root Minus Square Root
945×945
teachoo.com
Ex 7.2, 26 - Integrate cos root(x) / root x - Teachoo …
某些结果已被隐藏,因为你可能无法访问这些结果。
显示无法访问的结果
报告不当内容
请选择下列任一选项。
无关
低俗内容
成人
儿童性侵犯
反馈